ESTUDIO DEL CORTE Y DOBLADO DEL REFUERZO EN VIGAS SEGÚN LAS ESPECIFICACIONES
DEL ACI-318
PREPARADO
POR: EDEN CAPCHA M.
ESTRUCTURA BAJO ESTUDIO
La estructura bajo estudio será
una edificación de cuatro niveles destinada a fines turísticos, albergara un
restaurante en el primer nivel y servicio de hotel en los niveles restantes. La
edificación mencionada se encontrara ubicada en el departamento de lima, en la
ciudad de Puerto Supe.
En cuanto a la composición
estructural, con respecto a los elementos verticales esta consta de columnas de
30x40 cm2 de sección y placas de 30cm de
espesor que se extienden a todos los niveles. Mientras que en los elementos
horizontales tenemos vigas de 30x50 cm2 y 30x40cm2, además las losas serán
aligeradas de 20 cm de espesor; estos elementos se encuentran dispuestos tal
como se indica en la Fig. N° 2.
Aunque los estudios sobre los detalles de corte y doblado de
varillas tendrán como base las especificaciones del ACI 318, las
consideraciones referidas al análisis de cargas se hicieron tomando en cuenta
las normas peruanas, estas normas son la E020 (CARGAS) y la E030 (CARGAS
SISMICAS). Esto último se fundamenta en el hecho de que gran parte de la
reglamentación peruana con respecto al diseño en concreto armado es muy similar
a la del código americano ACI 318.
Por tanto se consideraron las
siguientes cargas y parámetros para el análisis estructural y sísmico.
El análisis estructural fue
realizado en el programa ETABS, considerando la inclusión de diafragmas rígidos
en cada nivel, como puede observarse en la Fig. N° 3 .
RESULTADOS DEL ANÁLISIS
Los resultados de mayor interés
para nosotros son las acciones sobre cada elemento debido a los diferentes
casos de carga y a sus respectivas combinaciones (Cabe mencionar que no se
muestran las inversiones de signo sobre las cargas sísmicas, puesto que se
realiza un análisis modal espectral).
· COMB1 = 1.4 D + 1.7 L
· COMB2 = 1.25 (D + L) + SX
·
COMB3 = 1.25 (D + L) + SY
· COMB4 = 0.9 D + SX
· COMB5 = 0.9 D + SY
En cuanto a las vigas los
resultados referidos a los momentos flectores y fuerzas cortantes son
presentados generalmente mediante diagramas de momentos flectores y de fuerzas
cortantes.
Los diagramas respectivos para el
pórtico contenido en el plano formado por los ejes B-B se muestran en las
figuras siguientes, un diagrama especial denominado diagrama de envolventes de
momentos flectores se muestra en la Fig. N° 7. Un
diagrama de envolventes es obtenido de la superposición de los diferentes
diagramas, ya sean estos de momentos o de fuerzas cortantes, obtenidos de las
diferentes combinaciones de carga y disposiciones de estas (Dameros de carga).
LONGITUD DE DESARROLLO
El capítulo 12 del ACI-318 está
dedicado a este tema por tanto se recomienda la lectura de esta. La longitud de
desarrollo es la longitud embebida necesaria dentro del concreto para poder
desarrollar un determinado esfuerzo sobre las varillas de acero, en general el
esfuerzo de fluencia. Además de un
desarrollo lineal también se usan ganchos de diferentes ángulos de
doblado (Gancho estándar ver Fig. N° 8).Las
longitudes de desarrollo (Lineal y gancho) para los diámetros comerciales se
muestran en la TABLA N° 1.
CORTE Y DOBLADO DE LAS VARILLAS
El objetivo de este trabajo es el
de aplicar las especificaciones del ACI 318 en cuanto al corte y doblado del
acero en vigas, se muestran algunos cálculos previos.
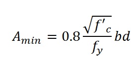
Aunque las cantidades de acero se
obtienen mediante requisitos de resistencia, ninguna sección de la viga deberá
tener colocado una cantidad de acero inferior a (ver TABLA N° 2):
Además por consideraciones relativas
a la ductilidad de la viga, se deberán evitar vigas sobre-reforzadas, por tanto
las cantidades de acero suministradas deberán ser inferiores a (ver TABLA N° 3):
El detalle del corte y doblado se
realizara para la viga del primer piso del pórtico elegido, los pasos se harán
tramo a tramo. El diagrama de envolventes de momentos flectores de la primera parte
de la viga se muestra en la Fig. N° 9, Ahí
mismo se encuentra graficada el momento nominal desarrollado por el refuerzo
continuo colocado.
Calculo del momento nominal.
El acero mínimo se extenderá a lo
largo de toda viga, en nuestro caso el refuerzo mínimo queda satisfecho con el
uso de 2 varillas de 5/8”, tanto superior como inferior. Para esta cantidad de
acero el momento nominal será:
Mn=6.35 Ton.m
Además para los materiales y
diámetros elegidos, tenemos los siguientes resultados.
Ld=1.20 m
12db=0.20m
d=0.44m
En este caso el refuerzo continuo estará asociado a las barras
denominadas varillas a (Fig. N° 9).
Como se puede observar de la Fig. N° 9 el
momento nominal proporcionado por el refuerzo continuo (varillas a) corta al
diagrama de envolventes de momentos flectores en los puntos A y B. Un refuerzo
adicional es colocado en cada extremo (según la demanda respectiva), tal como
puede observarse en la Fig. N° 11, estos
refuerzos se extenderán desde la sección critica (Cara interior de los apoyos)
hasta los puntos en los que teóricamente dejan de ser necesarios (puntos A y
B), el momento nominal se incrementa a los valores mostrados en la Fig. N° 9 .
“El refuerzo se debe extender más allá
del punto en el que ya no es necesario para resistir flexión por una
distancia d o 12db, la que sea mayor, excepto en los apoyos de vigas
simplemente apoyadas y el extremo libre
en voladizos.”[1]
En la Fig. N° 12 se puede
observar la aplicación de la disposición anterior, como ejemplo en el caso del
refuerzo negativo (varillas b); este refuerzo se extiende una distancia más
allá del punto donde teóricamente deja de ser necesario, dicha distancia es
obtenida del mayor valor entre d y 12db, además podemos apreciar que esta
longitud no debe de ser inferior a la longitud de desarrollo. La disposición
anterior toma en cuenta el hecho de que los diagramas son teóricos y q por
tanto los puntos de inflexión podrían cambiar su posición.
En el caso bajo estudio el punto A
se encuentra ubicado a 0.5m de la cara interior del apoyo izquierdo, la
longitud de desarrollo para una varilla de 5/8” es 1.20 m; el mayor valor de
las otras dos condiciones (12db o d) es 0.44m, que sumada a la posición del
punto A nos da 0.94m, por tanto prevalecerá la longitud de 1.2 m para el corte
del refuerzo negativo izquierdo (ver Fig. N° 11).
De igual manera con el apoyo izquierdo,
en este caso el refuerzo necesario adicional serán tres varillas de 5/8”, dos
de las cuales se extienden para satisfacer las demandas del paño contiguo. En
este caso la posición del punto B (Punto de inflexión) se encuentra a 90 cm de
la cara interior del apoyo derecho, este valor sumado al de las otras dos
condiciones (12db o d) nos da 1.34 m que resulta un valor mayor al de la
longitud de desarrollo y es por tanto esta longitud la que prevalecerá.
El procedimiento para determinar
los puntos de corte del refuerzo positivo es el mismo, debe aclarase que en la
mayor parte de los casos los valores se han redondeado a los múltiplos
inmediatos de 5, esto para que los resultados sean leídos de manera más sencilla y comprensible.



















No hay comentarios:
Publicar un comentario